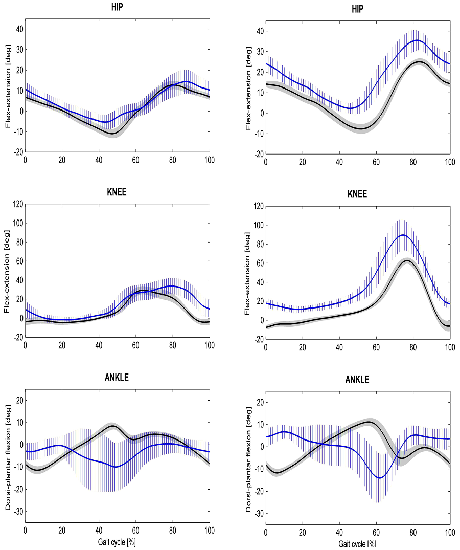
Figure 2: Angular kinematic patterns of the lower limb joints in the sagittal plane. Mean cycles of the injured (2a) and the controlateral (2b) limbs, in DL condition (black solid line and gray shaded area) and in UW condition (blue solid line and blue stripes area).

figure 2