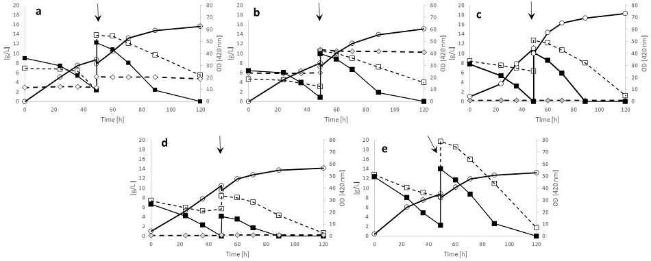
Figure 4: Time courses of sugars and growth curve: H. mediterranei on whey lactose hydrolyzed via different techniques. (a) Maxilact LG 2000TM, (b) solid enzyme from A. niger, (c) hydrolysis with HCl, (d) hydrolysis with H2SO4, (e) artificial substrate: equimolar mixtures of glucose and galactose. The arrows indicate the refeed with substrate.

figure 4