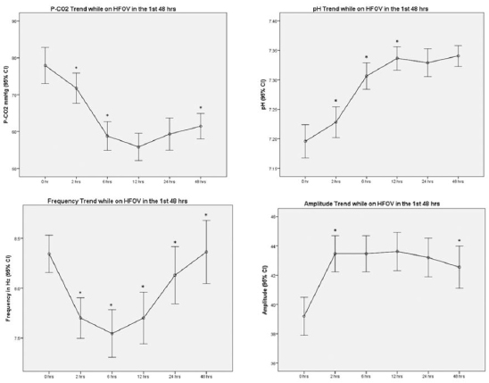
Figure 2: Mean changes and 95% confidence interval (CI) in partial pressure of CO2 (PCO2), pH, HFOV frequency, and amplitude for 48 h after application of HFOV ventilation.
The parameters at 0 hour are the parameters recorded immediately after starting HFOV. Values of each parameter were compared with preceding parameter using the Wilcoxon signed rank test. *P <0.05.

figure 2