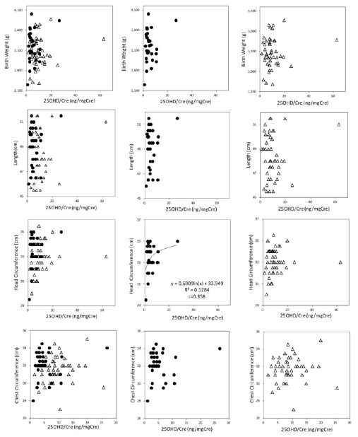
Figure 1: Relationship between urinary 25 OHD and newborn anthropometric outcome.
●: the late first and second trimester, △: the third trimester.

figure 1