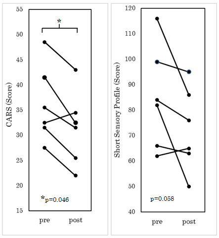
Figure 2: CARS and Short Sensory Profile during intake of vitamin D3.

figure 2