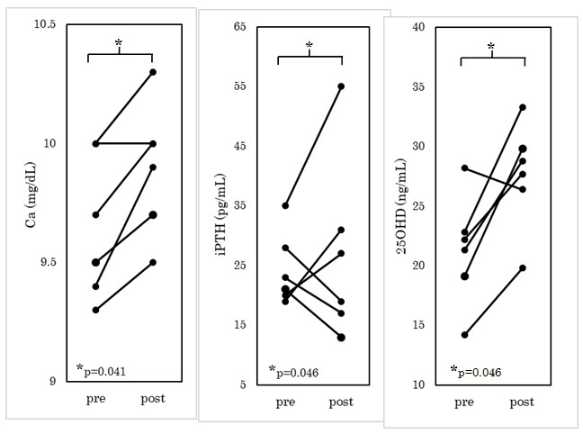
Figure 1: SerumCa, iPTH and 25OHD during intake of vitamin D3.

figure 1