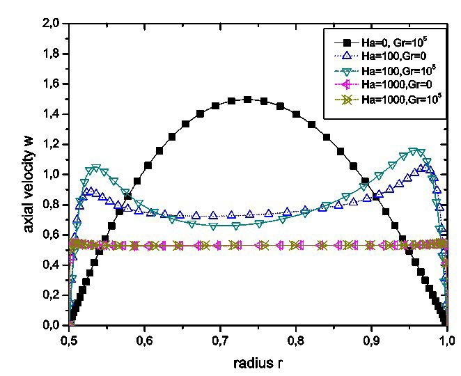
Figure 3: Axial velocity profile along the r-axis at angle r=90° for Ha=0, 100, 1000, Gr=0, 105 and Re=1000, κ=0.2.

figure 3