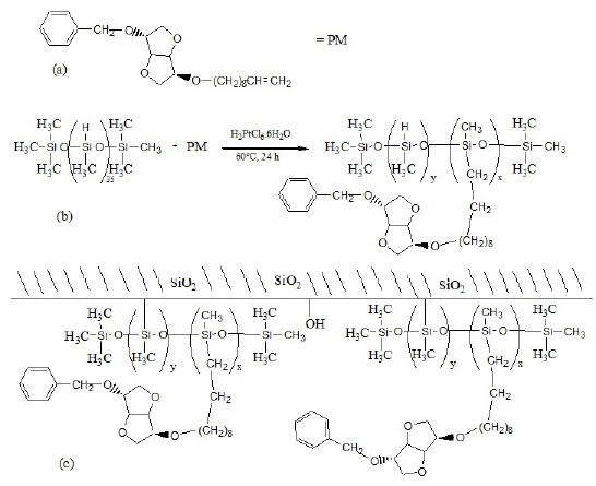
Figure 7: Synthesis of polarizable molecule PM (a), grafting PM on PMHS (b) and surface-grafted silica particles (c).

figure 7