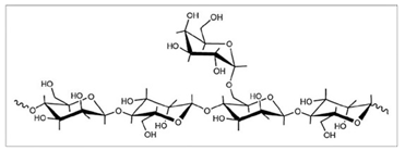
Figure 5: Schematic diagram of molecular structure of locust bean gum [80,81].

figure 5