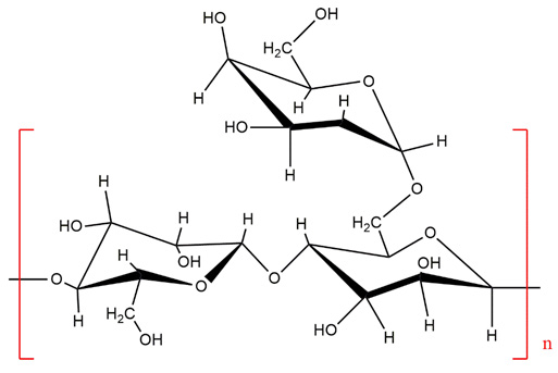
Figure 4: Schematic diagram of molecular structure of Guar gum.

figure 4