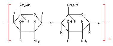
Figure 3: Schematic diagram of molecular structure of chitosan.

figure 3