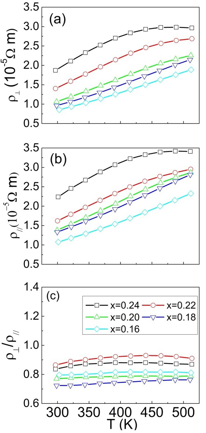
Figure 4:
Temperature dependent (a, b) electric resistivity
(ρ
⊥
, ρ
//
)
, (c) ratio of
ρ
⊥
, ρ
//
for (Bi
x
Sb
1-x
)
2
Te
3
(0.16≤x≤0.24).