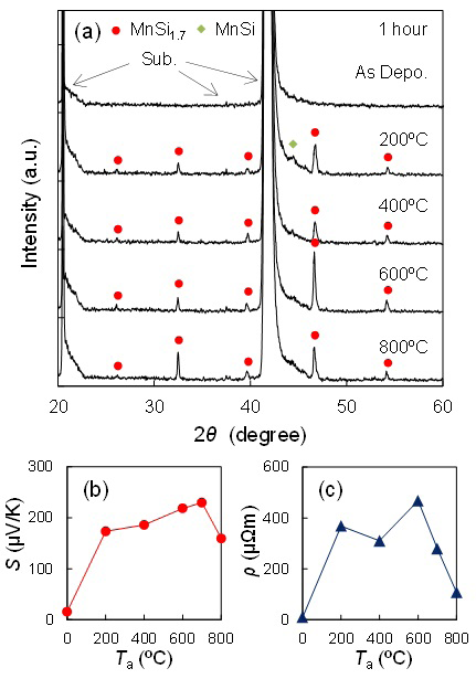
Figure 8: (a) Ta dependence of XRD profiles in Sapp.//[Mn(0.7)/Si(2.2)]48 annealed at 200-800°C for 1 hour in a vacuum. (b) Dependence of S on Ta. (c) Dependence of ρ on Ta.

figure 8