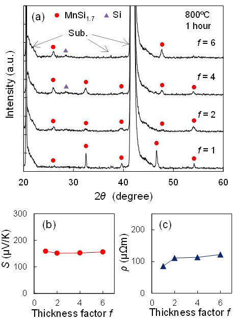
Figure 7: (a) Thickness factor f dependence of XRD profiles for Sapp.// [Mn(0.7×f)/Si(2.2×f)]48/f annealed at 800°C for 1 hour under vacuum. (b) Dependence of S on f. (c) Dependence of ρ on f.

figure 7