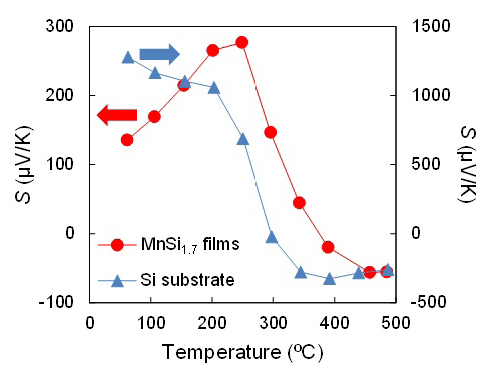
Figure 6: Temperature dependence of S and ρ in SiOx//[Mn(27/16)/ Si(73/16)]16 annealed at 800°C in a vacuum for 1 hour and that of bare Si substrate.

figure 6