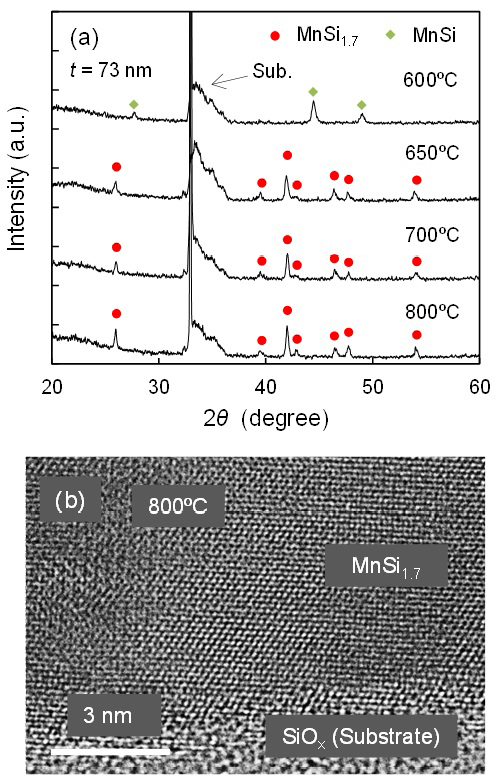
Figure 2: (a) XRD profiles of SiOx//[Mn(27)/Si(73)]1 annealed at 600-800°C under vacuum. (b) Cross-sectional TEM image of SiOx// [Mn(27)/Si(73)]1 annealed at 800°C under vacuum.

figure 2