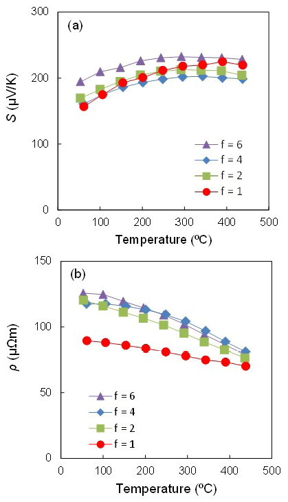
Figure 10: Temperature dependence of thermoelectric properties of Sapp.//[Mn(0.7×f)/Si(2.2×f)]48/f annealed at 800°C for 1 hour under vacuum. (a) S and (b) ρ.

figure 10