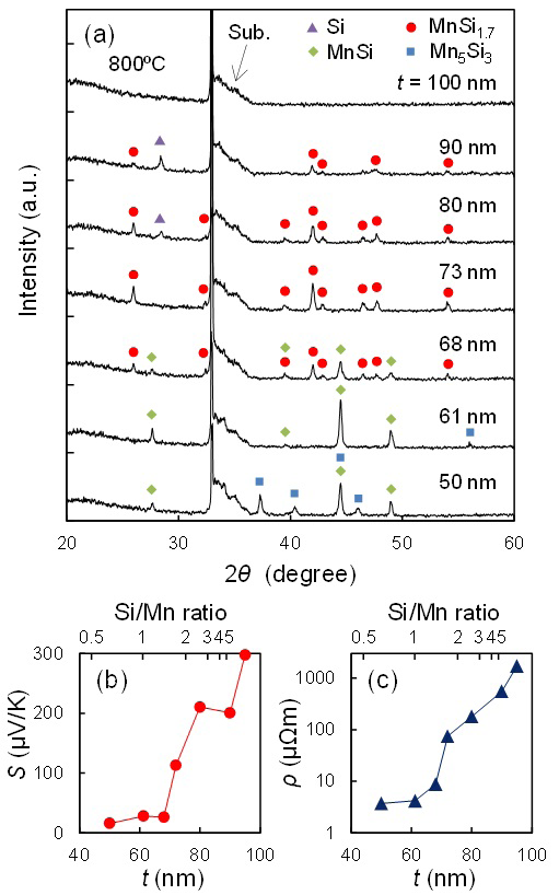
Figure 1: (a) XRD profiles of SiOx//[Mn(100–t)/Si(t)]1 annealed at 800°C under vacuum. (b) Dependence of S on t. (c) Dependence of ρ on t. Corresponding Si/Mn composition ratio is also shown.

figure 1