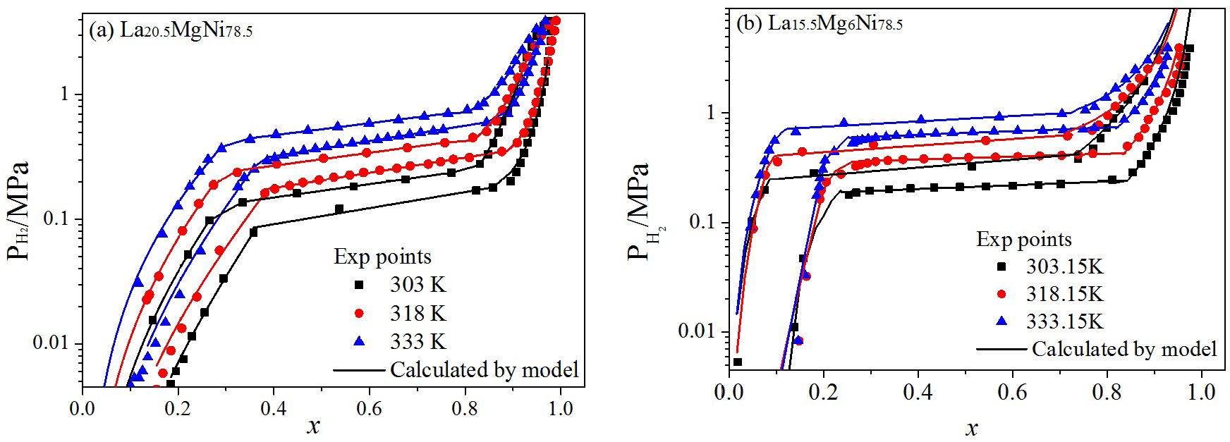
Figure 3: A comparison between the calculated PCI curve (solid lines) and their experimental data (points) for La20.5MgNi78.5 (a) and La15.5Mg6Ni78.5 (b) at different temperatures.

figure 3