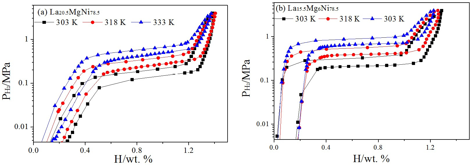
Figure 1: PCI curves of La20.5MgNi78.5 (a) and La15.5Mg6Ni78.5 (b) at different temperatures.

figure 1