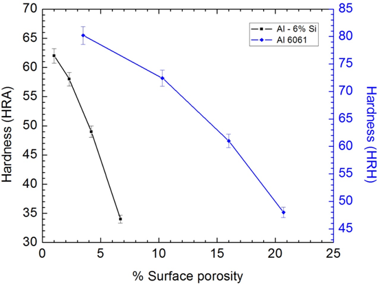
Figure 4: Variation in hardness with porosity content.

figure 4