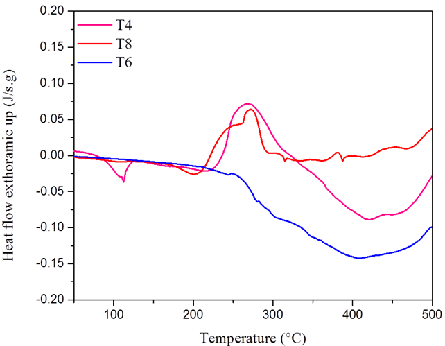
Figure 3: DSC traces of the specimens in three temper treatments; T4, T8 and T6.

figure 3