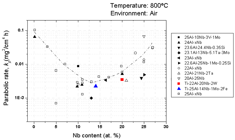
Figure 3: Effect of alloying element on the parabolic rate oxidation at 800°C in air from literature data.

figure 3