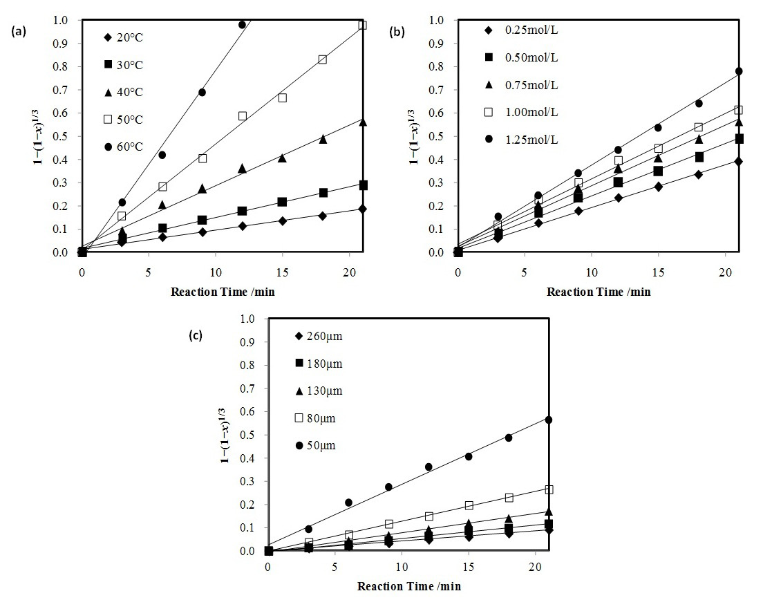
Figure 8: Relation curves between 1–(1–x)1/3 and time t under different influencing factors: (a) Temperature; (b) Reagent concentration; (c) Particle size.

figure 8