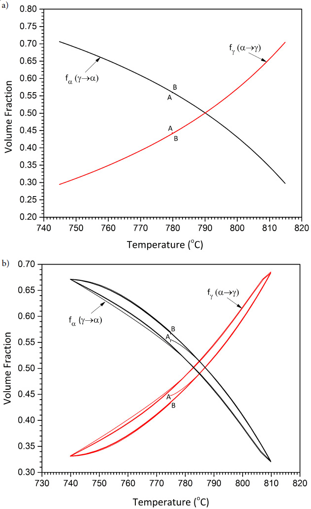
Figure 9: Cyclic transformations, volume fraction vs temperature for (a) Fe-0.2C and (b) Fe-0.2C-0.2Mn steels for both α→γ and γ→α transformations.

figure 9