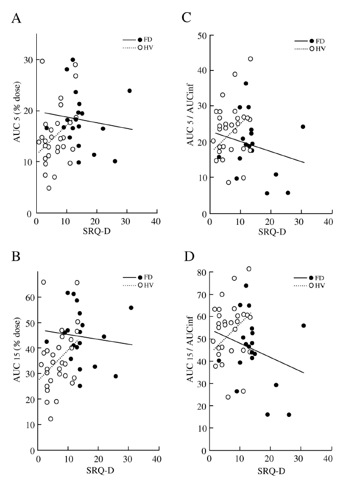
Figure 4: Correlation between SRQ-D score and AUC5, AUC15, AUC5/AUCAUCinf and AUC15/AUCAUCinf values.

  1. Correlation between AUC5 value (% dose) and SRQ-D score in healthy volunteers and FD patients.
  2. Correlation between AUC15 value (% dose) and SRQ-D score in healthy volunteers and FD patients.
  3. Correlation between AUC5/AUCinf value and SRQ-D score in healthy volunteers andFD patients.
  4. Correlation between AUC15/AUCinf value and SRQ-D score in healthy volunteersFD patients.

figure 4