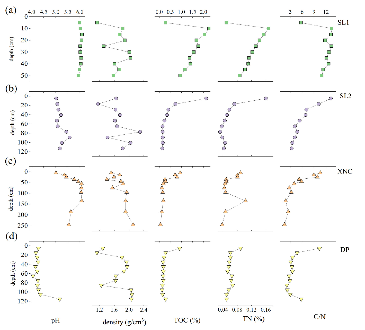
Figure 2: Depth profiles characteristics of pH, soil bulk density, TOC, TN and C/N ratio of the four soil profiles from karst area in Yunnan-Guizhou Plateau of southwestern China.

figure 2