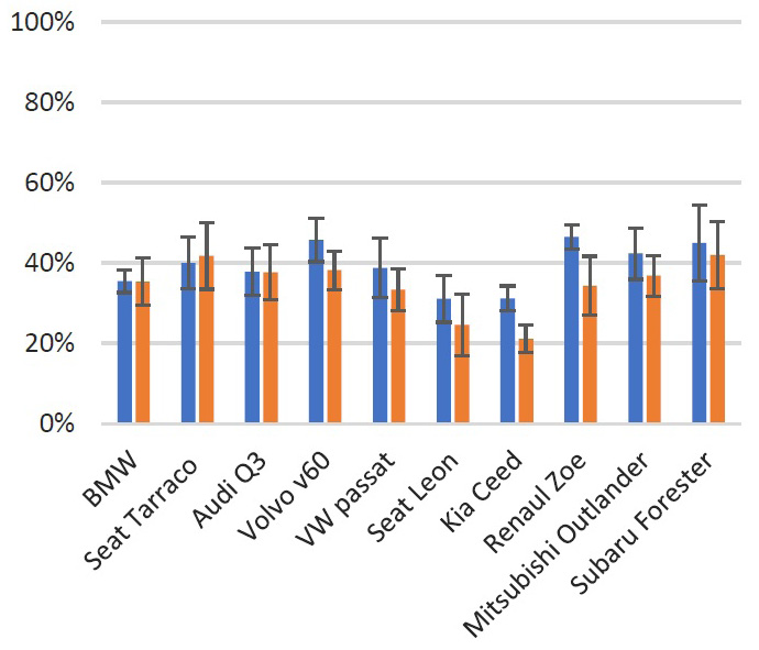
Figure 11: The average part of the total inside vehicle cabin exposure of BC and NOx which occurs after exiting the tunnel.

figure 11