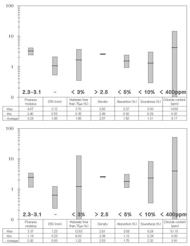
Figure 9: Mechanical properties of sand-rich sediments in each borehole samples as fine aggregates.

figure 9