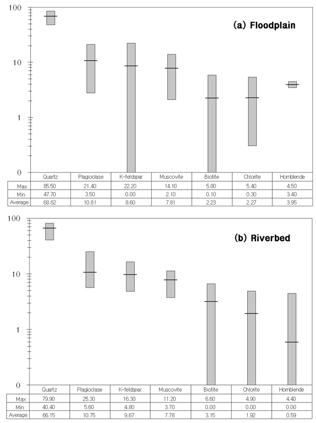
Figure 8: Mineral components of sand-rich sediments in the floodplain and riverbed.

figure 8