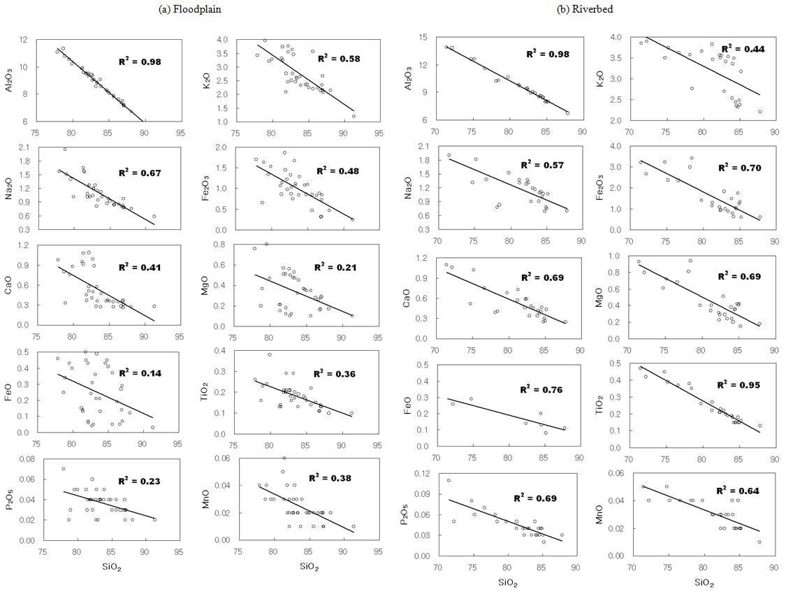
Figure 7: Diagram of major oxides versus Silica. (a) Floodplain, (b) Riverbed.

figure 7