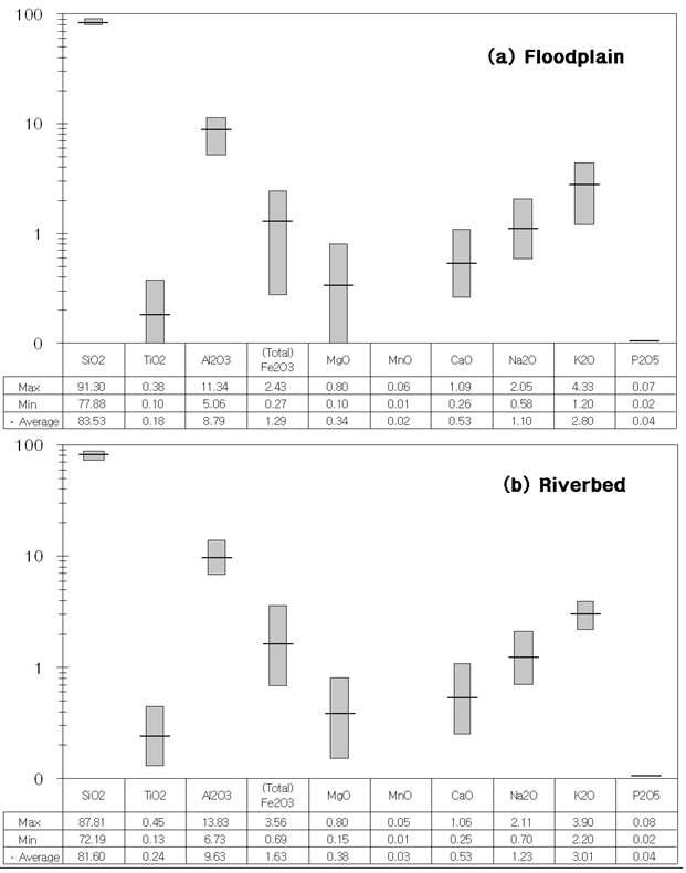
Figure 5: Distribution of major elements of floodplain and riverbed deposits.

figure 5