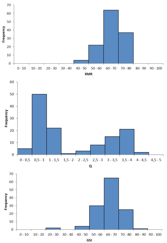
Figure 23: RMR, Q and GSI attributes in data base.

figure 23