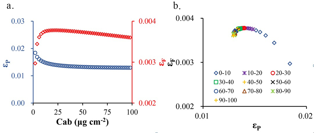
Figure 8: SCOPE simulated εP, εF(a) together with the εPF relationship (b) under different chlorophyll content (Cab) conditions.

figure 8