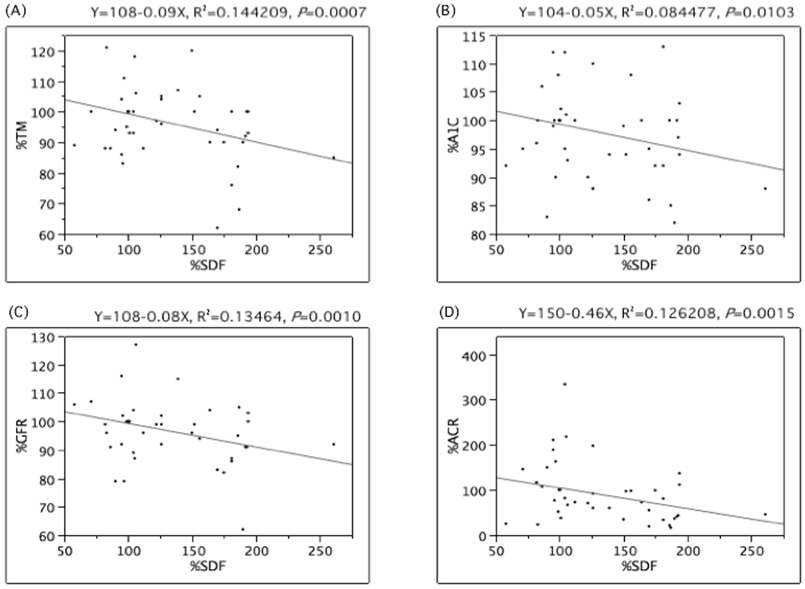
Figure 2: Regression study reveals close relationship between alteration rate of SDF1α and other parameters (A,B,C,D). In the DPP4 inhibitor group, there is a closer correlation between endothelial damage and glomerular albumin excretion (D) than between endothelial damage and glycemic control (B).

figure 2