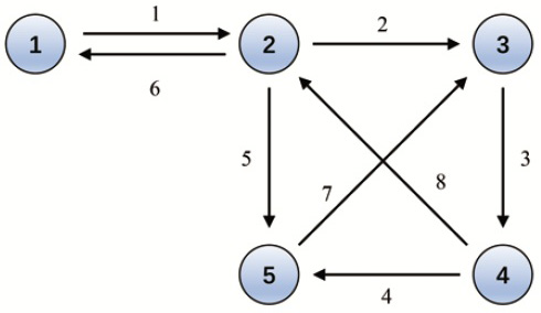
Figure 6: Topology 2 of the directed network of agents.

figure 6