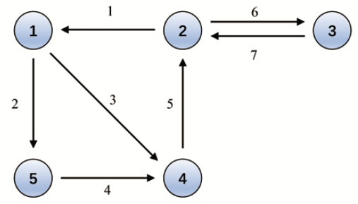
Figure 1: Topology 1 of the directed network of agents.

figure 1