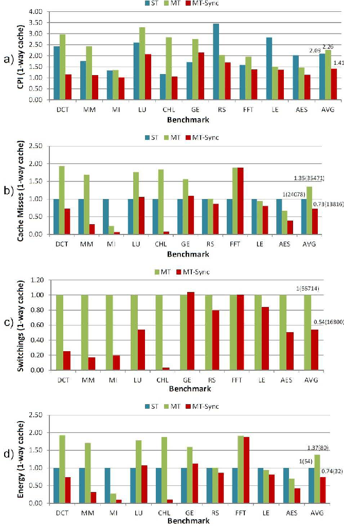
Figure 6: Results of Designs with 300MB Memory and 1-Way Cache: (a) CPI (b) Cache Misses (c) Thread Switching Count (d) Energy Consumption.

figure 6