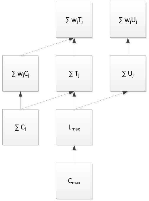
Figure 1: Reductions for γ, applying to all categories.

figure 1